arctanx的原函数是多少
的有关信息介绍如下:arctanx的原函数:x * arctanx - (1/2)ln(1+x²) + C
求法如下:(求一个函数的原函数就是对其求积分)
∫ arctanx dx
= x *arctanx - ∫ x d(arctanx)
= x * arctanx - ∫ x/(1+x²) dx
= x * arctanx - (1/2)∫ d(x²)/(1+x²)
= x * arctanx - (1/2)∫ d(1+x²)/(1+x²)
= x * arctanx - (1/2)ln(1+x²) + C
所以arctanx的原函数 解得为:x * arctanx - (1/2)ln(1+x²) + C
原函数是指对于一个定义在某区间的已知函数f(x),如果存在可导函数F(x),使得在该区间内的任一点都存在dF(x)=f(x)dx,则在该区间内就称函数F(x)为函数f(x)的原函数。
已知函数f(x)是一个定义在某区间的函数,如果存在可导函数F(x),使得在该区间内的任一点都有dF(x)=f(x)dx,则在该区间内就称函数F(x)为函数f(x)的原函数。
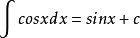
例如:sinx是cosx的原函数。

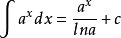
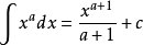
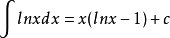
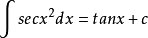
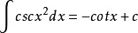
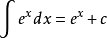
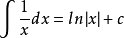
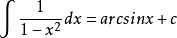
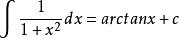
典型原函数介绍如下:
2、
3、
4、
5、
6、
7、
8、
9、
10、
11、
12、
13、
其中,c均为任意常数。



