什么是高斯函数
的有关信息介绍如下:高斯函数的形式为:
其中a、b与c为实数常数,且a> 0。
c= 2的高斯函数是傅立叶变换的特征函数。这就意味着高斯函数的傅立叶变换不仅仅是另一个高斯函数,而且是进行傅立叶变换的函数的标量倍。
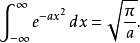
高斯函数属于初等函数,但它没有初等不定积分。但是仍然可以在整个实数轴上计算它的广义积分:


扩展资料
高斯函数的应用:
高斯函数的不定积分是误差函数。在自然科学、社会科学、数学以及工程学等领域都有高斯函数的身影,这方面的例子包括:
在统计学与机率论中,高斯函数是正态分布的密度函数,根据中心极限定理它是复杂总和的有限机率分布。
高斯函数是量子谐振子基态的波函数。
高斯函数与量子场论中的真空态相关。
在光学以及微波系统中有高斯波束的应用。
设x∈R , 用 [x]或int(x)表示不超过x 的最大整数,并用{χ}表示x的非负纯小数,则 y= [x] 称为高斯(Guass)函数,也叫取整函数。(其中y={x}叫做小数部分函数,表示x的小数部分)
任意一个实数都能写成整数与非负纯小数之和,即:x= [x] + {χ}(0≤{x}<1)
参考资料:百度百科-高斯函数

