根号里面的数的取值范围
的有关信息介绍如下:在实数范围内,偶次根号下不能为负数,其运算结果也不为负。奇次根号下可以为负数。
若aⁿ=b,那么a是b开n次方的n次方根或a是b的1/n次方。开n次方的n写在符号√ ̄的左边,n=2(平方根)时n可以忽略不写,但若是立方根(三次方根)、四次方根等,是必须书写。

扩展资料:
计算公式

成立条件:a≥0,n≥2且n∈N。

成立条件:a≥0, n≥2且n∈N。

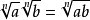
成立条件:a≥0,b>0,n≥2且n∈N。

成立条件:a≥0,b>0,n≥2且n∈N。
参考资料来源:百度百科-根号



