股票当中的EMA是什么意思啊?
的有关信息介绍如下:EMA(Exponential Moving Average)是指数移动平均值。也叫EXPMA指标,它也是一种趋向类指标,指数移动平均值是以指数式递减加权的移动平均。
当要比较数值与均价的关系时,用MA就可以了,而要比较均价的趋势快慢时,用EMA更稳定;有时,在均价值不重要时,也用EMA来平滑和美观曲线。
其公式为:
EMAtoday=α * Pricetoday + ( 1 - α ) * EMAyesterday;
其中,α为平滑指数,一般取作2/(N+1)。在计算MACD指标时,EMA计算中的N一般选取12和26天,因此α相应为2/13和2/27。
当公式不断递归,直至EMA1出现,EMA1是没有定义的。EMA1 的取值有几种不同的方法,通常情况下取EMA1为Price1,另外有的技术是将EMA1取值为开头4到5个数值的均值。

扩展资料:
在计算机递推计算时,可以写作:
EMAtoday=α * ( Pricetoday - EMAyesterday ) + EMAyesterday;
将EMAyesterday按照类似方法递推展开,可以得到:

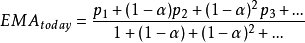
其中,p1表示今天价格,p2表示昨天价格,以此类推。
将平滑系数α 展开,
由于
可以得到:

从该式中可以更清楚地看出EMA加权平均的特性。在EMA指标中,每天价格的权重系数以指数等比形式缩小。
时间越靠近当今时刻,它的权重越大,说明EMA函数对近期的价格加强了权重比,更能及时反映近期价格波动情况。
所以EMA比MA更具参考价值,而EMA也不容易出现死叉和金叉,所以一旦出现要立即作出反映,对周线处理,EMA就更加稳定了。
参考资料来源:百度百科—EMA



